A capacidade de ler e compreender as informações apresentadas nos rótulos de alimentos e bebidas é fundamental para que o cidadão possa fazer suas escolhas alimentares com autonomia e consciência. Nesse sentido, considere os textos 1 e 2:
Texto 1
“Em um frasco de maionese pode estar lá ‘alto em gorduras saturadas’, mas é importante que o consumidor saiba que esse ‘alto em’ é naquela medida de 100 g, ou no volume líquido de 100 mL. Gente, uma colher de sopa de maionese tem 12 g, então para a gente chegar nesse ‘alto em’, a gente teria que consumir oito colheres de sopa (diárias) de maionese”, disse uma influenciadora que tem quase um milhão de seguidores.
(Adaptado de https://ojoioeotrigo.com.br/politica-de-republicacao. Acesso em 17/07/2025.)
Texto 2
“As empresas de alimentos criam um ambiente que estimula o consumo excessivo de comida, por meio de publicidade, marketing indireto, brindes, redes sociais [...]. A indústria de alimentos adotou métodos da indústria tabagista, semeando dúvidas sobre pesquisas e recrutando influenciadores”, disse nutricionista e autoridade em política alimentar nos EUA.
(Adaptado de https://www.bbc.com/portuguese/articles/cwy6zv15yxzo. Acesso em 17/07/2025.)
a) No texto 1, consta a informação de que a maionese é um produto considerado “alto em gorduras saturadas”. Explique o que é gordura saturada e insaturada, apresentando em sua resposta uma estrutura molecular genérica para cada uma dessas gorduras, de modo a diferenciá-las do ponto de vista químico.
b) Enquanto o texto 1 sugere um determinado raciocínio, o texto 2 nos alerta para uma a necessidade de fazermos uma reflexão crítica sobre as informações que nos chegam diariamente. A partir disso, explique por que a interpretação do ‘alto em’ apresentada no texto 1 é preocupante e imprecisa para quem busca uma alimentação saudável e balanceada. E, do ponto de vista de uma alimentação saudável e balanceada, exemplifique duas funções da gordura no organismo.
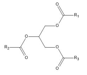
a) As gorduras compõem uma parcela da classe de biomoléculas denominada lipídios. Em geral, essas gorduras são triésteres do glicerol, também conhecidas como triglicerídeos, triglicérides ou ainda triacilglicerídos, possuindo a seguinte fórmula geral:

Esses triglicerídos são formados a partir da combinação de ácidos graxos com o glicerol:

Também podem ser considerados como gorduras os ácidos graxos na forma livre, isto é, não esterificada com o glicerol, por exemplo:

A classificação "saturada" ou "insaturada", no contexto da estrutura química de uma molécula orgânica, é referente à presença de ligações duplas ou triplas (portanto, ligações pi) entre os carbonos da cadeia. Desse modo, a gordura insaturada apresenta alguma cadeia contendo ligação dupla ou tripla entre carbonos. Genericamente, podemos representar por:

Obs: Também seria possível representar a estrutura de um triacilglicerídeo com alguma das cadeias insaturadas.
A gordura saturada é aquela na qual as cadeias carbônicas são isentas de ligações duplas ou triplas, isto é, não possuem insaturações entre carbonos. Genericamente podemos representar da seguinte fórmula:

b) A interpretação do ‘alto em’ apresentada no texto 1 é imprecisa pois sugere que a advertência do rótulo só seria válida se o consumidor consumisse todo o produto de uma só vez e que o consumo de uma colher de sopa não representaria nenhum perigo à saúde. No entanto, o selo “alto em” não está atrelado à quantidade que a pessoa vai comer, que pode variar de consumidor para consumidor, mas sim à concentração de um determinado ítem alimentar por porção. Desta forma, em termos proporcionais, o alimento em questão é “alto em gorduras saturadas” independente da quantidade consumida. A interpretação também é preocupante pois induz os seguidores a entenderem de forma equivocada o real significado do selo e, por consequência, minimizarem os riscos à saúde e, sem consciência, consumirem quantidades elevadas do produto, se distanciando de uma alimentação saudável e balanceada.
Os lipídios são essenciais para a saúde do organismo, atuando no bom funcionamento dos órgãos e na manutenção da integridade celular. Presentes em várias regiões do corpo, os triglicerídeos acumulados no tecido subcutâneo oferecem proteção mecânica, isolamento térmico, modelagem das formas corporais e ainda funcionam como importante reserva de energia. No tecido adiposo marrom, os triglicerídeos são oxidados para liberação de calor, importante para manutenção da temperatura corporal. Na musculatura esquelética, os ácidos graxos, oriundos dos triglicerídeos, são quebrados para gerar ATP e prover a energia para o movimento. No sistema nervoso, os ácidos graxos, provenientes das gorduras dos alimentos, são parte dos lipídios utilizados para produção da bainha de mielina, fundamental para a condução eficiente dos impulsos nervosos. Além disso, ácidos graxos desempenham funções estruturais e metabólicas ao integrar as membranas celulares, como fosfolipídios. O colesterol, embora não seja propriamente uma gordura, também é um lipídio importante presente nos alimentos, participando da síntese de moléculas vitais, como vitaminas, sais biliares e hormônios esteroides, incluindo cortisol, aldosterona, estrógeno e testosterona. Portanto, garantir uma alimentação variada e com quantidades adequadas de lipídios é fundamental para a saúde, prevenindo tanto excessos quanto deficiências, fatores que podem contribuir para o desenvolvimento de obesidade e outros desequilíbrios metabólicos.